| COMP3311 23T3 |
Week 03 ER→Rel Mapping, SQL DDL, ER→SQL Mapping |
Database Systems |
Why is it useful to first do an ER design and then convert this into a relational schema?
Convert each of the following ER design fragments into a relational data model expressed as a box-and-arrow diagram:
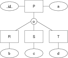
In the mapping from the ER model to the relational model, there are three different ways to map class hierarchies (ER, OO, single-table). Show each of them by giving the mapping for the following class hierarchy:
Use box-and-arrow diagrams for the relational models.
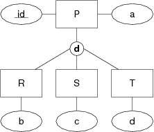
Now consider a variation on the above class hierarchy where the sub-classes are disjoint. Show the three possible mappings for the class hierarchy and discuss how effectively they represent the semantics of the disjoint sub-classes:
Use box-and-arrow diagrams for the relational models.
Consider the following two relation definitions:


Give examples of constraints that
What is the difference between the following two ways to define a primary key?
create table R ( create table R (
a integer primary key, a integer,
b integer, b integer,
... ...
); primary key (a)
);
Discuss suitable SQL representations for each of the following attributes, including additional domain constraints where relevant:
people's names
addresses
ages
dollar values
masses of material
In many real PostgreSQL schemas, you will see definitions like
create table R (
id serial,
name text,
d_o_b date,
...
primary key (id)
);
Convert the following entity into an SQL CREATE TABLE definition:
Give reasons for all choices of domain types.
Convert the following entity into an SQL CREATE TABLE definition:
Give reasons for all choices of domain types.
Convert the following ER design into a relational data model:
You can assume that each attributes contains (at least) a suitably-named attribute containing a unique identifying number (e.g. the Lecturer entity contains a LecID attribute).
Convert the following ER design into an SQL schema:
Which elements of the ER design do not appear in the relational version?
Convert the following ER design into a relational data model expressed first as a box-and-arrow diagram and then as a sequence of statements in the SQL data definition language:
Which elements of the ER design do not appear in the relational version?
[Based on GUW 2.1.3] Convert the following ER design into a relational data model expressed first as a box-and-arrow diagram and then as a sequence of statements in the SQL data definition language:
Which elements of the ER design do not appear in the relational version?
Convert the following ER design into a relational data model expressed first as a box-and-arrow diagram and then as a sequence of statements in the SQL data definition language:
Which elements of the ER design do not appear in the relational version?
Convert the following ER design to relational form:
Which elements of the ER design do not appear in the relational version?
Using this version of the Person class hierarchy, from the Medical scenario described previously, convert the ER design to relational form as an SQL schema:
Using the Person class hierarchy from the previous question, convert this ER design for the medical scenario into relational form:
Assume that the Person classes are mapped using the ER-style mapping. Which elements of the ER design do not appear in the relational version?
Convert this ER design for the book publishing scenario into an SQL schema:
Give two versions, one using the ER-style mapping of subclasses, and the other using single-table-with-nulls mapping of subclasses.